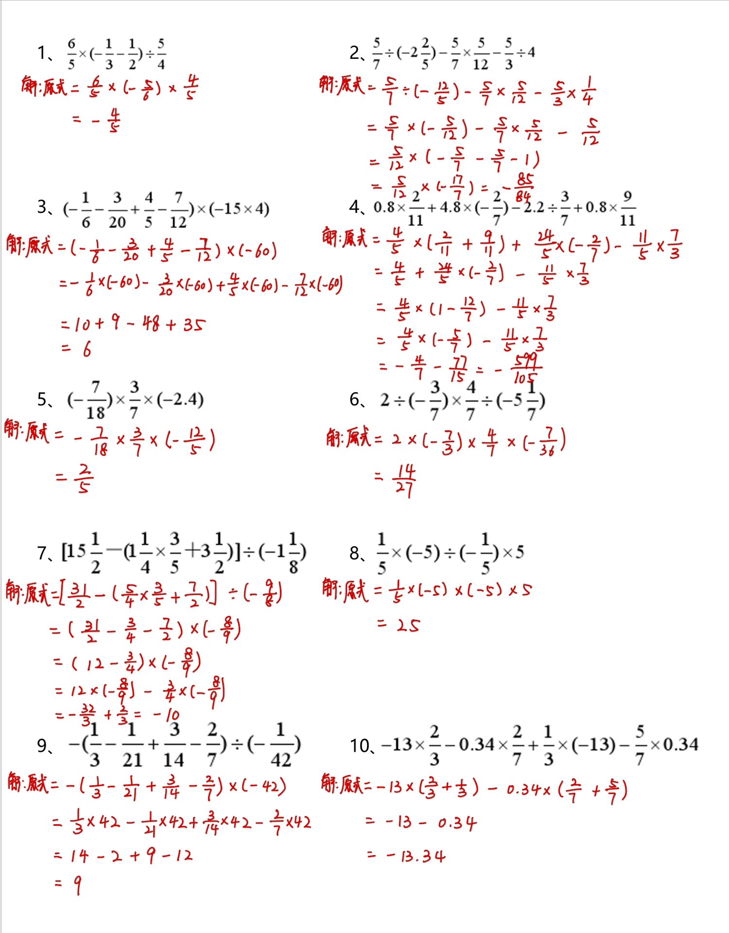
有理数运算高频易错50道!
视频播放量 133弹幕量 0点赞数 1投硬币枚数 0收藏人数 0转发人数 0, 视频作者 苏老师012, 作者简介 ,相关视频初一数学全96集七。
初一必会易错题绝对值分类讨论,一个视频搞定数轴动点问题,七年级上册必会压轴题 动点问题,七年级上册必会易错题,中考必会易错题,中考必会易。
合集下载 语法知识有理数的易错题汇编附答案 一填空题1若有理数a ,b 满足a+12+b 2=0,则a b 2数轴上点A B 的位置如图所示,若点A 向右移动2个单位得到点C ,则。
学科网为您提供25有理数的混合运算 易错50题20242025学年北师大版七年级数学上册精品资料,欢迎您下载使用或在线阅读,获取更多初中数学专项训练。

消息 发布 登录 27 评论 收藏 分享 转发到头条 复制链接 微信 微信扫码分享 新浪微博 空间 七上数学必刷有理数混合运算,高频易错题50道 · 初中重点拔。
初中数学七上有理数混合运算高频易错题50道,含答案解析,高分必备#初中数学#七上数学#有理数#混合运算#知识点总结 学霸每日讲堂于27发。

有理数 运算 易错题 汇编 答案 解析 资源描述 1有理数的运算易错题汇编含答案解析一选择题1x是最大的负整数,y是最小的正整数,则xy的值为 A0。
数学提分教练肖老师点击蓝字关注我们关注我们,关注中考高清资料打印+微信号xyls469最近我们网盘的资料在持续的升级和更新。
5混合运算有理数的加减乘除混合运算,如无括号指出先做什么运算,按照“先乘除,后加减”的顺序进行,如果是同级运算,则按。
易错点集中在“符号判断”“乘方运算规则”“科学记数法的幂次”,需通过专项训练强化细节图形认识初步满分4550分,占比。
建议收藏~八年级上册数学第一次月考重难点+易错点试题总结,高分必备!初一数学上册有理数18种运算技巧整理汇总,月考前抓。
要聊城易错题清单让老师帮忙整理“聊城年级里错误率高的题”比如聊城初一数学常错“有理数混合运算符号问题”初二英语常。
本文 htmlit 原创,转载保留链接!网址:https://fs-qilian.com/post/3546.html
1.本站遵循行业规范,任何转载的稿件都会明确标注作者和来源;2.本站的原创文章,请转载时务必注明文章作者和来源,不尊重原创的行为我们将追究责任;3.作者投稿可能会经我们编辑修改或补充。

