七年级上册数学有理数易错100题!(初一有理数混合运算易错题100道带答案)
barry001
阅读:21
2025-10-24 14:30:37
评论:0
1、2024年9月16日 人教七年级上册数学有理数易错题及好题评析精选 一知识点再辨析 二易错题精选 例1 分析 我们知道,绝对值的。
2、大家好,我是王老师,每天在这里分享有用的初中数学知识!今天王老师给大家带来的是七年级上册数学有理数易错题型汇总,考点+。

3、新学期就要来了,今天辅导君为大家整理了七年级上册数学有理数的混合运算练习题40道带答案,开学必学,赶紧收藏! 初中数。

4、今天辅导君给初一新生整理了七年级数学上册有理数知识点+练习,新学期必考,赶紧收藏起来吧有理数的概念定义正整数0。
5、七年级上册数学有理数章节重难点易错点专项练习题目来啦答案来啦众享教育,致力于教与学的研究,专注于提供优质学习资源。
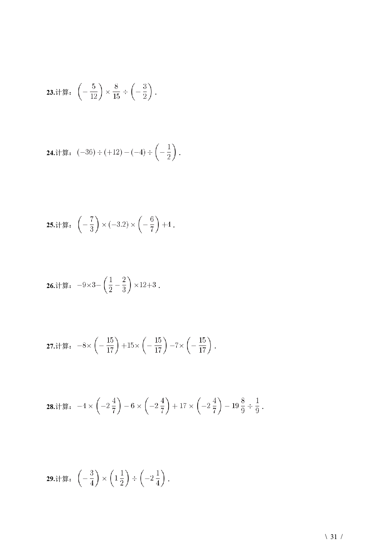
6、今天分享的资料是2025年秋七年级上册数学有理数运算专项训练,共78页,100题,附详细解析,高清完整电子版可打印。
7、新教材七年级上册数学有理数的运算100题八大题型分类汇编,有完整电子版学生版+解析版,可下载可打印需要电。
本文 htmlit 原创,转载保留链接!网址:https://fs-qilian.com/post/2156.html
声明
1.本站遵循行业规范,任何转载的稿件都会明确标注作者和来源;2.本站的原创文章,请转载时务必注明文章作者和来源,不尊重原创的行为我们将追究责任;3.作者投稿可能会经我们编辑修改或补充。

